Materi : Pembahasan Fungsi Komposisi dan Fungsi Invers
Judul materi : Pembahasan Fungsi Komposisi dan Fungsi Invers
Pembahasan Fungsi Komposisi dan Fungsi Invers
Fungsi Komposisi dan Fungsi Invers - Pada artikel kali ini materi yang akan dipelajari adalah tentang fungsi komposisi dan fungsi invers. Materi ini termasuk ke dalam salah satu pokok bahasan yang ada di dalam mata pelajaran matematika di Sekolah Menengah Atas (SMA). Ada baiknya sebelum mempelajari materi ini kalian terlebih dahulu memahami Teori, Konsep dan Jenis Himpunan Matematika. Fungsi atau pemetaan termasuk ke dalam relasi karena di dalam sebah fungsi dari himpunan A ke himpunan B terdapat relasi khusus yang memasangkan tiaptiap anggota yang ada pada himpunan A dengan tiap-tiap anggota pada himpunan B. Untuk bisa menyelesaikan soal-soal mengenai fungsi komosisi dan invers tentu kita harus memahami dengan baik konsep ataupun prinsip dasar dari fungsi komposisi dan fungsi invers.
Rumus Matematika Dasar mencoba merangkum materi ini dari berbagai sumber seperti bisa kalian simak di bawah ini:
Pengertian Fungsi Komposisi dan Fungsi Invers
Fungsi Komposisi
Dari dua jenis fungsi f(x) dan g(x) kita dapat membentuk sebuah fungsi baru dengan menggunakan sistem operasi komposisi. operasi komposisi biasa dilambangkan dengan "o" (komposisi/bundaran). fungsi baru yang dapat kita bentuk dari f(x) dan g(x) adalah:
(g o f)(x) artinya f dimasukkan ke g
(f o g)(x) artinya g dimasukkan ke f
Contoh Soal 1:
Diketahui f(x) = 3x - 4 dan g(x) = 2x, maka tentukanlah rumus (f o g)(x) dan (g o f)(x) ...
Jawab:
(f o g)(x) = g dimasukkan ke f menggantikan x
(f o g)(x) = 3(2x)-4
(f o g)(x) = 6x - 4
(g o f)(x) = f dimasukkan ke g menggantikan x
(g o f)(x) = 2(3x-4)
(g o f)(x) = 6x-8
Syarat Fungsi Komposisi
Contoh Soal 2
Misal fungsi f dan g dinyatakan dalam pasangan terurut :
f : {(-1,4), (1,6), (3,3), (5,5)}
g : {(4,5), (5,1), (6,-1), (7,3)}
Tentukan :
a. f o g d. (f o g) (2)
b. g o f e. (g o f) (1)
c. (f o g) (4) f. (g o f) (4)
Jawab :
Pasangan terurut dari fungsi f dan g dapat digambarkan dengan diagram panah berikut ini
a. (f o g) = {(4,5), (5,6), (6,4), (7,3)}
b. (g o f) = {(-1,5), (1,-1), (3,3), (5,1)}
c. (f o g) (4) = 5
d. (f o g) (2) tidak didefinisikan
e. (g o f) (1) = -1
Sifat-sifat Fungsi Komposisi
Fungsi komposisi memiliki beberapa sifat, diantaranya:
Tidak Komutatif
(g o f)(x) = (f o g)(x)
Asosiatif
(f o (g o h))(x) = ((f o g) o h)(x)]
Fungsi Identitas I(x) = x
(f o I)(x) = (I o f)(x) = f(x)
Cara Menentukan fungsi bila fungsi komposisi dan fungsi yang lain diketahui
Misalkan jika fungsi f dan fungsi komposisi (f o g) atau (g o f) telah diketahui maka kita dapat menentukan fungsi g. demikian juga sebaliknya.
Contoh Soal 3
Misal fungsi komposisi (f o g) (x) = -4x + 4 dan f (x) = 2x + 2.
Tentukan fungsi g (x).
Jawab :
(f o g) (x) = -4x + 4
f (g (x)) = -4x + 4
2 (g (x)) + 2 = -4x + 4
2 g (x) = -4x + 2
g (x) = -4x + 2
2
g (x) = -2x + 1
Jadi fungsi g (x) = -2x + 1
Fungsi Invers
Apabila fungsi dari himpunan A ke B dinyatakan dengan f, maka invers dari fungsi f merupakan sebuah relasi dari himpunan A ke B. Sehingga, fungsi invers dari f : A -> B adalah f-1: B -> A. dapat disimpulkan bahwa daerah hasil dari f-1 (x) merupakan daerah asal bagi f(x) begitupun sebaliknya.
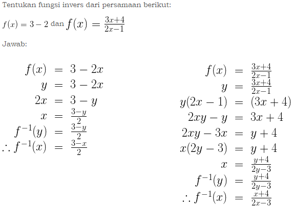
Cara menenukan fungsi invers bila fungsi f(x)telah diketahui:
Pertama
Ubah persamaan y = f (x) menjadi bentuk x sebagai fungsi dari y
Kedua
Hasil perubahan bentuk x sebagai fungsi y itu dinamakan sebagai f-1(y)
Ketiga
Ubah y menjadi x [f-1(y) menjadi f-1(x)]
Contoh Soal:
Demikianlah Artikel Pembahasan Fungsi Komposisi dan Fungsi Invers
Itulah contoh soal ataupun materi pelajaran Pembahasan Fungsi Komposisi dan Fungsi Invers, mudah-mudahan bisa memberi manfaat untuk anda semua. baiklah, sekian postingan pelajaran kali ini.


0 Response to "Pembahasan Fungsi Komposisi dan Fungsi Invers"
Posting Komentar